ДПА-2017

Порада

- Багато качаєш?

- Рекомендуємо зареєструватись! Зареєстровані користувачі качають по прямих посиланнях!

[ Свіжі повідомлення | Учасники | Правила форуму | Пошук | RSS ]
  • Сторінка 1 з 1
  • 1
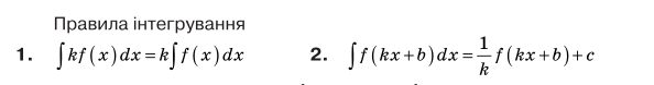
Правила інтегрування
Victor_PasykДата: Середа, 11.06.2014, 20:21:56 | Повідомлення # 1
Активіст
Група: Адміністратор
Повідомлень: 226
Статус: Offline

Прикріплення: 9692181.jpg (7.1 Kb)
 
  • Сторінка 1 з 1
  • 1
Пошук:

Пошук


Профіль

По класах

Бібліотека учня

Читай українською!

Статистика


 
Наша група в ВКонтакті